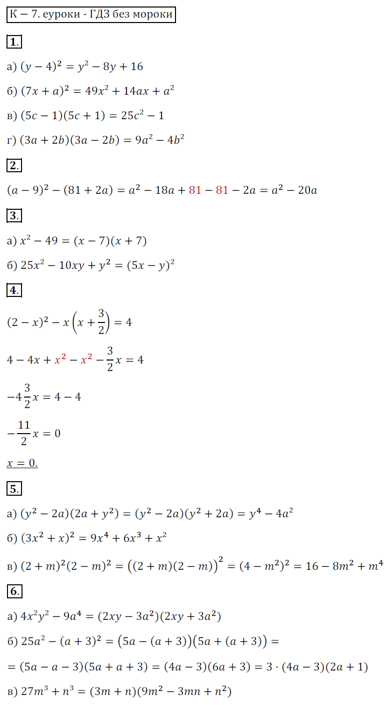
Решебник по алгебре 7 класс Звавич дидактические материалы К-7. Параграф 12. Квадрат суммы и квадрат разности. Параграф 13. Разность квадратов. Сумма и разность кубов | Номер Вариант 1
Авторы:Звавич, Макарычев, Кузнецова
Год:2023
Тип:дидактические материалы
К-7. Параграф 12. Квадрат суммы и квадрат разности. Параграф 13. Разность квадратов. Сумма и разность кубов > Вариант 1
Условие:
1. Преобразуйте в многочлен:
а) (y-4)^2
б) (7x+a)^2
в) (5c-1)(5c+1)
г) (3a+2b)(3a-2b)
2. Упростите выражение
(a-9)^2-(81+2a).
3. Разложите на множители:
а) x^2-49
б) 25x^2-10xy+y^2
4. Решите уравнение
(2-x)^2-x(x+1,5)=4.
5. Выполните действия:
а) (y^2-2a)(2a+y^2)
б) (3x^2+x)^2
в) (2+m)^2(2-m)^2
6. Разложите на множители:
а) 4x^2y^2-9a^4
б) 25a^2-(a+3)^2
в) 27m^3+n^3







