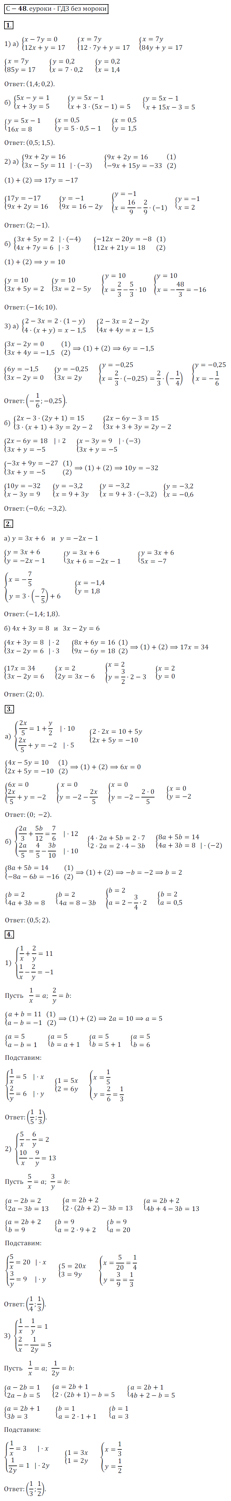
Решебник по алгебре 7 класс Звавич дидактические материалы С-48. Решение систем линейных уравнений | Номер Вариант 1
Авторы:Звавич, Макарычев, Кузнецова
Год:2023
Тип:дидактические материалы
С-48. Решение систем линейных уравнений > Вариант 1
Условие:
1. Решите систему уравнений:
1) а) x-7y=0; 12x+y=17
б) 5x-y=1; x+3y=5
2) а) 9x+2y=16; 3x-5y=11
б) 3x+5y=2; 4x+7y=6
3) а) 2-3x=2(1-y); 4(x+y)=x-1,5
б) 2x-3(2y+1)=15; 3(x+1)+3y=2y-2
2. Вычислите координаты точки пересечения прямых:
а) y=3x+6 и y=-2x-1
б) 4x+3y=8 и 3x-2y=6
3. Решите систему уравнений:
а) 2x/5=1+y/2; 2x/5+y=-2
б) 2a/3+5b/12=7/6; 2a/5=4/5-3b/10
4. Решите систему уравнений:
1) 1/x+2/y=11; 1/x-2/y=-1
2) 5/x-6/y=2; 10/x-9/y=13
3) 1/x-1/y=1; 2/x-1/2y=5







