Решебник по алгебре 9 класс Макарычев дидактические материалы К-7. Параграф 10. Геометрическая прогрессия | Номер Вариант 3
Авторы:Макарычев, Миндюк, Крайнева
Тип:дидактические материалы
К-7. Параграф 10. Геометрическая прогрессия > Вариант 3
Условие:
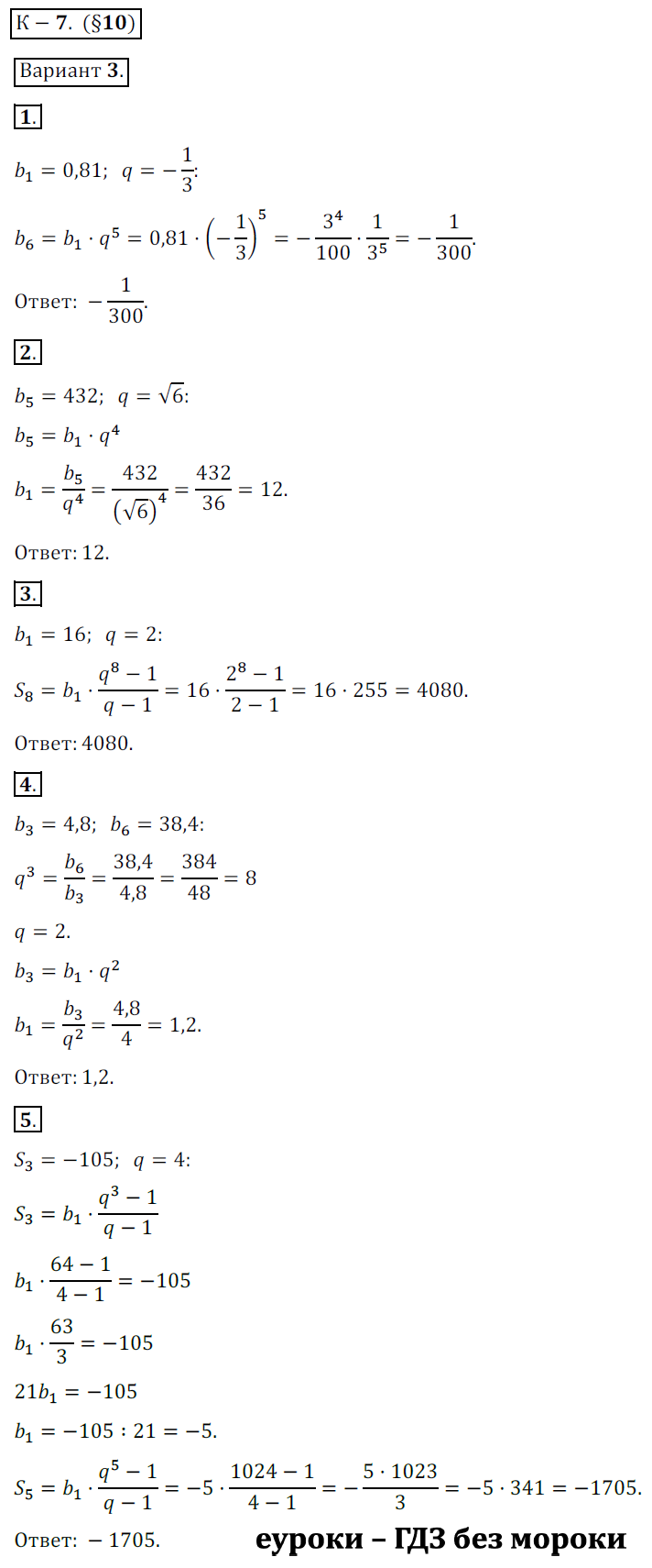
1. Найдите шестой член геометрической прогрессии (bn), если b1=0,81 и q=-1/3.
2. Последовательность (bn) – геометрическая прогрессия, в которой b5=432 и q=корень из 6. Найдите b1.
3. Найдите сумму первых восьми членов геометрической прогрессии (bn), в которой b1=16 и q=2.
4. Известны два члена геометрической прогрессии: b3=4,8 и b6=38,4. Найдите ее первый член.
5. Сумма первых трёх членов геометрической прогрессии равна -105, знаменатель прогрессии равен 4. Найдите сумму первых пяти членов этой прогрессии.






