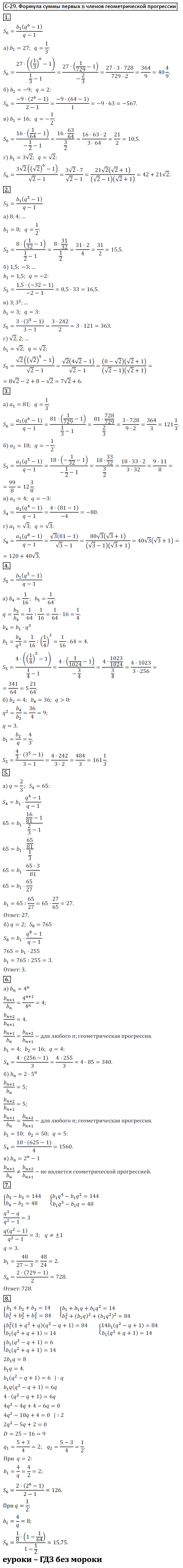
Решебник по алгебре 9 класс Макарычев дидактические материалы С-29. Формула суммы первых n членов геометрической прогрессии | Номер Вариант 2
С-29. Формула суммы первых n членов геометрической прогрессии > Вариант 2
Условие:
1. Найдите сумму первых пяти членов геометрической прогрессии (bn), в которой:
а) b1=27, q=1/3.
2. Найдите сумму первых шести членов геометрической прогрессии:
а) 8; 4; …;
3. Последовательность (an) – геометрическая прогрессия. Найдите:
а) S6, если a1=81, q=1/3.
4. Найдите сумму первых пяти членов геометрической прогрессии (bn), в которой:
а) b4=1/16, b5=1/64.
5. найдите первый член геометрической прогрессии, в которой:
а) q=2/3, S4=65.
6. Является ли геометрической прогрессией последовательность (bn), если:
а) bn=4^n.
При положительном ответе найдите сумму первых четырех её членов.
7. Разность между пятым и третьим членами геометрической прогрессии равна 144, а между четвёртым и вторым равна 48. Найдите сумму первых шести членов этой прогрессии.
8. Сумма первых трёх членов геометрической прогрессии равно 14, а сумма их квадратов равна 84. Найдите первый член прогрессии, ее знаменатель и сумму первых шести членов.






